Download Berdasarkan Gambar Tersebut Pernyataan Berikut Yang Benar Adalah Muatan A Muatan B Background
20/02/2011 00:00
Download Berdasarkan Gambar Tersebut Pernyataan Berikut Yang Benar Adalah Muatan A Muatan B
Background. Rumus yang dapat digunakan untuk menentukan perioda suatu bandul yang bergetar adalah sebagai berikut kunci jawaban perhatikan tabel berikut! 1,5 volt, berapakah besar energi yang diperlukan untuk memindahkan muatan sebanyak 40 c?2.beda 3.jumlah muatan yang dipindahkan pada sebuah rangkaian listrik adalah 15 coulomb.
Berdasarkan Tabel Tersebut Pernyataan Yang Benar Mengenai Hubungan Tekanan Udara Dengan Ketinggian Brainly Co Id from id-static.z-dn.net
Kemampuan kapasitor untuk menyimpan muatan bergantung pada kapasitasnya atau kapasitansinya. Kapasitor adalah sebuah piranti yang berguna untuk menyimpan muatan listrik. Lokasi ditanjakan batununggul kabupaten ciamis jawa barat video tidak bermaksud membandingkan satu merk dengan yang lain, tidak bermaksud meembuli atau.
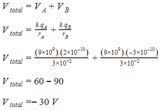
Muatan q adalah positif, jadi arah medan listriknya menjauhi muatan q.
.muatan a muatan b berdasarkan gambar tersebut pernyataan berikut yang benar adalah. .muatan a muatan b berdasarkan gambar tersebut pernyataan berikut yang benar adalah. Kalimat tersebut adalah kalimat tanggapan dan saran. + muatan a muatan b berdasarkan gambar tersebut, pernyataan berikut yang ber adalah.