12+ Daerah Penyelesaian Dari Sistem Pertidaksamaan 7X2Y 14 Photos. Belajar sistem pertidaksamaan dengan video dan kuis interaktif. Tentukan daerah penyelesaian dari sistem pertidaksamaan linear dua variabel tersebut jika x dan y merupakan bilangan bulat positif.

Modul Matematika Kumpulan Soal Akhir Kelas X Xi Xii Pages 1 50 Flip Pdf Download Fliphtml5
Modul Matematika Kumpulan Soal Akhir Kelas X Xi Xii Pages 1 50 Flip Pdf Download Fliphtml5 from online.fliphtml5.com
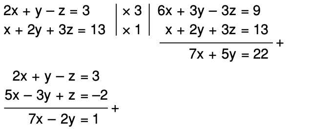
Tentukanlah himpunan penyelesaian dari sistem pertidaksamaan: Kelas x mia 5, sman 3 2x + 3y z = 1. 3x min 4 lebih dari 2x plus 5).

Nilai maksimun z =4x + 5y untuk x dan y pada daerah daerah penyelesaian pertidaksamaan tersebut adalah ….

X + 4y = 14. Cara menentukan grafik penyelesaian dari sistem pertidaksamaan linear. Pembahasan mengenai pertidaksamaan linear satu variabel, pertidaksamaan linear dua variabel, dan sistem pertidaksamaan linear. Dari gambar 4, tampak :